ЭМ-задача 2 [ Номинальный Mн и номинальный угол нагрузки ]

Журавлев Роман Дмитриевич
ЭЛ-12-22
задание № 2283
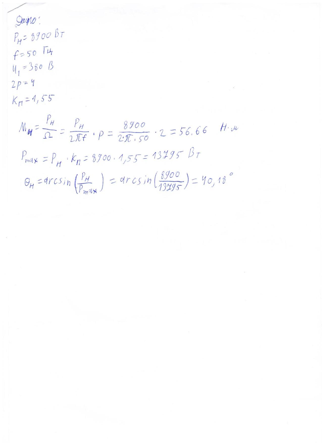
Дано: Синхронный 4-полюсный двигатель с неявнополюсным ротором мощностью 8900 Вт питается от трехфазной сети частотой 50 Гц с напряжением U1 = 380 В.
Найти: номинальный момент Mн и номинальный угол нагрузки θн (с точностью до 1 градуса), если величина статической перегружаемости двигателя 1,55
При решении задачи используйте рекомендованные обозначения.
Мощность двигателя: Pн
Частота сети: f
Cтатическая перегружаемость: kп
Число пар полюсов двигателя: p
Синхронная частота вращения: n1
Синхронная угловая скорость: Ω1
Номинальный угол нагрузки: θн
Внимательно прочтите правила выполнения работы

Ниже описан порядок действий.
1. Передача решения в систему
Сфотографируйте рукопись своего решения.
1.1. Если в почтовом клиенте вашего устройства настроена почта ОСЭП, кликните тут и обязательно ПРИЛОЖИТЕ к письму jpeg/jpg/png-файл(ы) фото рукописи и отправьте письмо со своего адреса ОСЭП.
1.2. Если почтовый клиент не может использовать ЭСЭП-почту, подготовьте и отправьте со своего почтового ящика ОСЭП фото рукописи как приложенный jpeg/jpg/png файл письмом на адрес dit-mpei-04@exam-edu.ru
адрес получателя скопирован!
с темой письма ФОТО 2283 и пустым текстом письма.
тема письма скопирована!
Не меняйте тему письма.>
Через 5..10 минут в Ваш почтовый ящик должно прийти письмо с результатом распознавания текста рукописи. Результат распознавания Вы также увидите в правой части карточки задания в разделе "Результаты".
2. Запрос рецензии и оценки
Рецензия готовится на основе распознанного текста. Внимательно сравните результат распознавания рукописи с тем, что Вы написали.
2.1. Если необходима коррекция результата распознавания
Подготовьте фото корректируемых строк (см. правила)
2.1.1. Если в почтовом клиенте вашего устройства настроена почта ОСЭП, >кликните тут и обязательно ПРИЛОЖИТЕ к письму jpeg/jpg/png-файл фото корректируемых строк и отправьте письмо со своего адреса ОСЭП.
2.1.2. Если почтовый клиент не может использовать ЭСЭП-почту, со своего почтового ящика ОСЭП отправьте письмо на адрес dit-mpei-04@exam-edu.ru
адрес получателя скопирован!
с темой письма КОРРЕКЦИЯ 2283 и пустым текстом письма.
тема письма скопирована!
К письму ПРИЛОЖИТЕ только фото корректируемых строк.
Не меняйте тему письма.>
Через 5..10 минут в Ваш почтовый ящик придет письмо с откорректированным результатом распознавания текста рукописи. Проверяете, вновь корректируете, если ошибки остались, или запрашиваете оценку.
2.2. Если результат распознавания Вас устраивает, запросите оценку
2.2.1. Если в почтовом клиенте вашего устройства настроена почта ОСЭП, кликните тут и отправьте письмо со своего адреса ОСЭП.
2.2.2. Если почтовый клиент не может использовать ЭСЭП-почту, отправьте со своего почтового ящика ОСЭП на адрес dit-mpei-04@exam-edu.ru
адрес получателя скопирован!
письмо с темой ОЦЕНИТЬ 2283
тема письма скопирована!
и пустым текстом письма.
Не прикладывайте к письму с запросом оценки никаких файлов вложений и не изменяйте тему письма.
Через 5..10 минут в Ваш почтовый ящик должно прийти письмо с рецензией и обоснованием оценки работы и кодом доступа для просмотра рецензии.
Если Вы не получили письма с результатом распознавания в ответ на отправку фото или письма с рецензией в ответ на запрос оценки или коррекции распознавания, то проверьте
  • правильность адресата
  • корректность темы письма
  • правильность номера задачи в теме письма
  • наличие корректных файлов вложений в письмах с изображениями
  • отсутствие файлов вложений в письме с запросом оценки
Вы можете повторно отправить фото или запрос коррекции, если что-то пошло не так.
Если все сделано правильно, то ответное письмо придет. Задержки в обработки возможны из-за высокой нагрузки на систему.
Результаты работы

РУКОПИСЬ


РЕЗУЛЬТАТ РАСПОЗНАВАНИЯ.


РЕЦЕНЗИЯ.