Метрология, КР № 3 [ Класс точности с/d , расчет погрешности ]

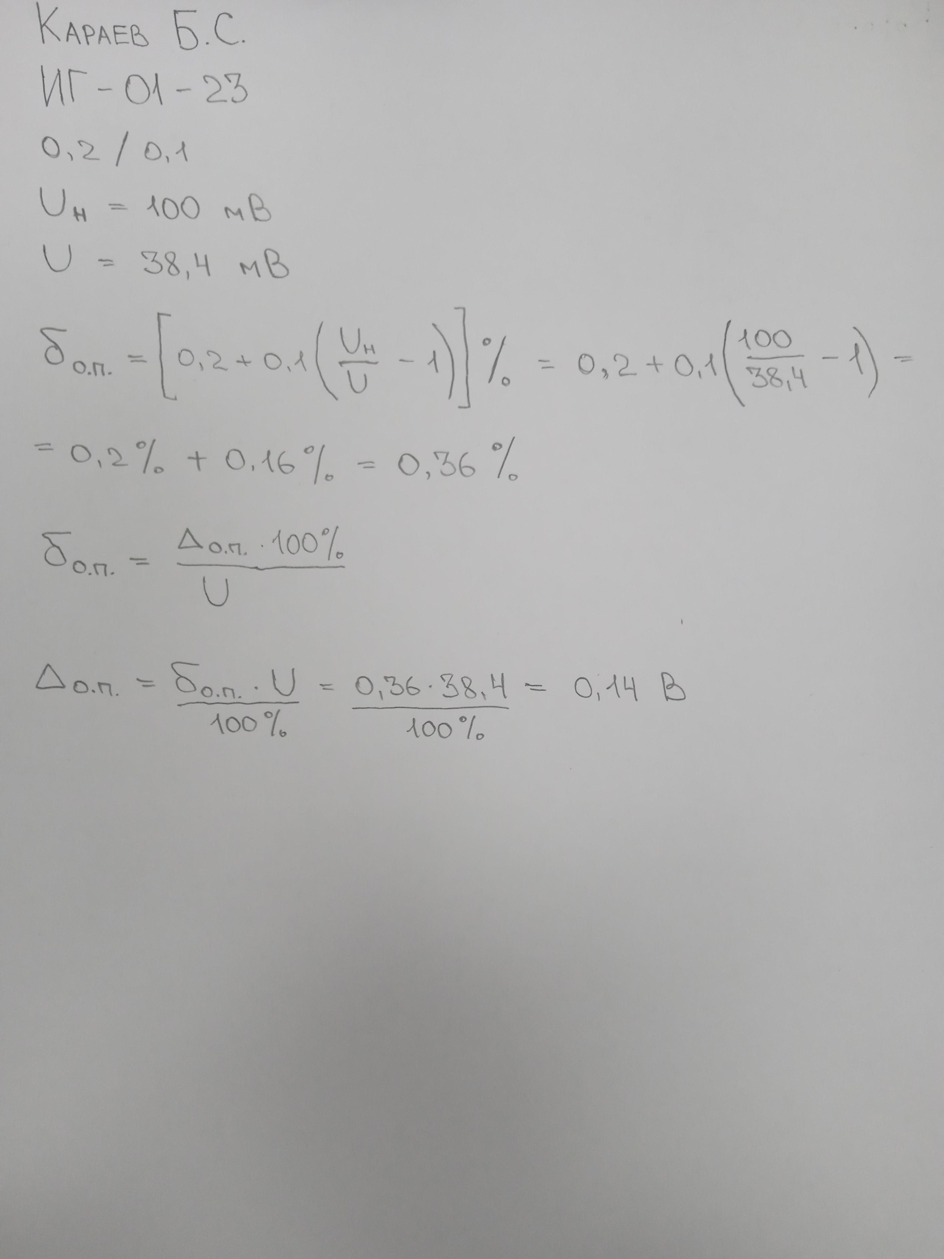
Караев Барсбек Сапарбекович
ИГ-01-23
задание № 1837
Вольтметром, на котором обозначен класс точности 0,2/0,1 и который имеет диапазон показаний от 0 до 100 мВ, измерили напряжение постоянного тока.
Результат измерения U составляет 38,4 мВ
Рассчитать значения предельной абсолютной Δо.п. и предельной относительной погрешности δо.п. этого измерения.
Учитывается лишь основная погрешность вольтметра.
В решении следует использовать следующие обозначения параметров:
нормирующее значение:
измеренное значение: U
основная предельная абсолютная погрешность: Δо.п.
основная предельная относительная погрешность: δо.п.
Внимательно прочтитайте правила выполнения работы

Ниже описан порядок действий.
Результаты работы
1.Передача решения в систему.
Сфотографируйте рукопись своего решения и отправьте со своего почтового ящика ОСЭП фото рукописи как приложенный jpeg/jpg/png файл письмом на адрес dit-mpei-06@exam-edu.ru
адрес получателя скопирован!
с темой письма ФОТО 1837 и пустым текстом письма.
Через 5..10 минут в Ваш почтовый ящик должно прийти письмо с результатом распознавания текста рукописи. Результат распознавания Вы также увидете в правой части карточки задания в разделе "Результаты"
тема письма скопирована!


2. Запрос рецензии и оценки.
Рецензия готовится на основе распознанного текста. Внимательно сравните результат распознавания рукописи с тем, что Вы написали.

2.1 Если необходима коррекция результата распознавания, подготовьте фото корректируемых строк (см.правила) и со своего почтового ящика ОСЭП отправьте письмо на адрес dit-mpei-06@exam-edu.ru
адрес получателя скопирован!
с темой письма КОРРЕКЦИЯ 1837 и пустым текстом письма. К письму ПРИЛОЖИТЕ только фото корректируемых строк.
Через 5..10 минут в Ваш почтовый ящик придет письмо с откорректированным результатом распознавания текста рукописи Проверяете, вновь корректруете, если ошибки остались, или запрашиваете оценку.
тема письма скопирована!


2.2 Если результат распознавания Вас устраивает, отправьте со своего почтового ящика ОСЭП на адрес dit-mpei-06@exam-edu.ru
адрес получателя скопирован!
письмо с темой ОЦЕНИТЬ 1837
тема письма скопирована!
и пустым текстом письма. Не прикладывайте к письму с запросом оценки никаких файлов вложений.
Через 5..10 минут в Ваш почтовый ящик должно прийти письмо с рецензией и обоснованием оценки работы и кодом доступа для просмотра рецензии.

Если Вы не получили письма с результатом распознавания в ответ на отправку фото или письма с рецензией в ответ на запрос оценки или коррекции распознавания, то проверьте
  • правильность адресата
  • корректность темы письма
  • правильность номера задачи в теме письма
  • наличие корректных файлов вложений в письмах с изображениями
  • отсутствие файлов вложений в письме с запросом оценки.
Вы можете повторно отправить фото или запрос коррекции, если что-то пошло не так.
Если все сделано правильно, то ответное письмо придет. Задержки в обработки возможны из-за высокой нагрузки на систему.
РУКОПИСЬ


РЕЗУЛЬТАТ РАСПОЗНАВАНИЯ.


РЕЦЕНЗИЯ.